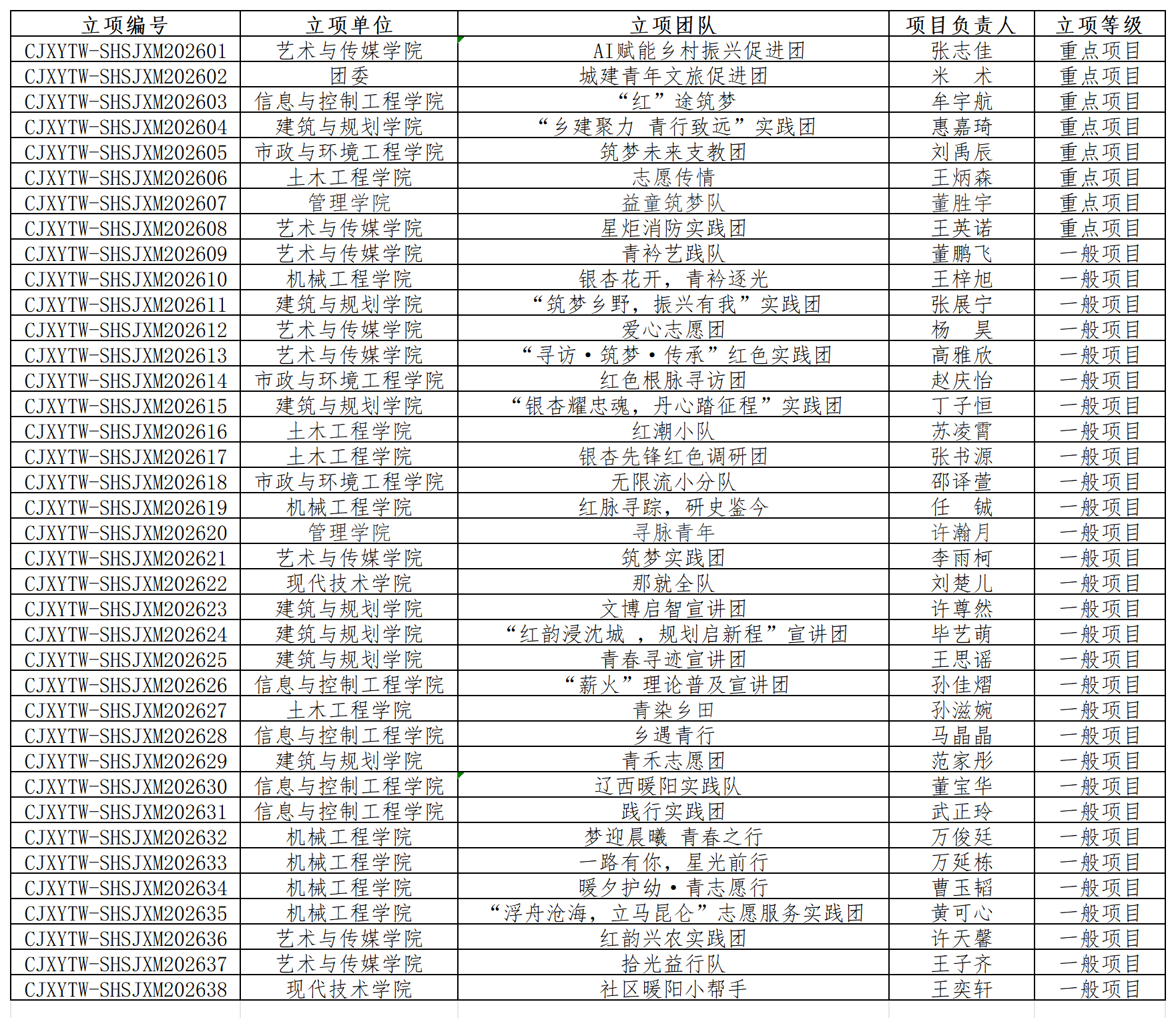
为深入学习贯彻习近平新时代中国特色社会主义思想,引导当代大学生在社会大课堂中坚定理想信念、锤炼过硬本领、勇担时代重任、保持奋斗激情,奋力书写为中国式现代化挺膺担当的青春篇章,近日,校团委在业精楼510、业精楼C507、学勤楼310举办2026年寒假社会实践立项申报答辩会。校团委根据实践主题,对入围的62个项目进行分组,同步组织开展三场答辩会。经评委严谨评审,最终38支团队脱颖而出,成功斩获立项资格。

答辩环节中,各实践团队依次登台开展立项汇报。团队负责人紧扣实践主题,结合专业知识背景进行深度阐述,其选题视角新颖独特、内容设计务实可行,充分展现出我校学子心系社会发展、注重学以致用的创新精神以及扎实过硬的实践能力。
评委老师们全程认真聆听各团队汇报,围绕项目可行性、实施路径规划、预期成效达成及社会价值彰显等核心维度,进行了细致入微的专业点评,为每支队伍提出了针对性极强的修改建议与优化方向。同时,与会评委着重强调,社会实践项目需坚守可持续发展理念与实际应用价值导向,精准聚焦现实社会需求,深度融合学科专业特色,灵活运用现代科技手段,切实提升项目的社会影响力与实践育人成效。
未来,学校将持续引导广大青年学生发挥专业特长,推动理论知识向实际问题解决能力转化,在团队协作中凝聚智慧、提升综合素养,在实践锻炼中坚定理想信念、增长过硬才干,以实际行动服务社会发展、践行青年使命,充分彰显新时代大学生的责任担当与青春风采。